جهاز بلين بلين

وصف قصير: 

منتج Details
  • وصف المنتج

SZB-9 اكتب مساحة السطح التلقائية المحددة لقياس الأداة لمتطلبات CBT8074-2008 القياسية المعيارية ، وتطوير الشركة والمعهد الوطني لبحوث مواد البناء للمعهد الجديد للمعدات والمعدات الإشراف على جودة المعدات ، ومركز التفتيش والاختبار جديدًا من نوع SZB-9 من نوع SZB-9. يتم التحكم في الماكينة بواسطة الحواسيب الدقيقة ذات الشريحة الواحدة ويتم تشغيلها بمفاتيح اللمس الكاملة للتحكم تلقائيًا في عملية القياس بأكملها. قم بحفظ قيمة معامل الأداة تلقائيًا ، وعرض قيمة مساحة السطح المحددة مباشرة بعد القياس ، وحفظ قيمة مساحة السطح المحددة المقاسة تلقائيًا أثناء تسجيل وقت التجربة.        

المعلمات الفنية: 

1. جهد إمدادات الطاقة: 220 فولت ± 10 ٪     

2. نطاق التوقيت: 0.1 ثانية-999 ثانية     

3. دقة التوقيت: <0.2 ثانية = "">    

4. دقة القياس: <1>  

5. نطاق درجة الحرارة: 8-34 ℃     

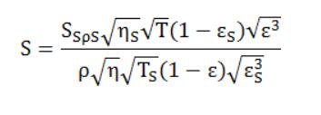
6. قيمة مساحة السطح المحددة S: 0.1-9999 سم ​​مربع / ز   

7. نطاق التطبيق: النطاق المحدد في GB / T8074-2008  

جهاز بلينمحلل مساحة السطح التلقائي التلقائيجهاز بلين التلقائي

معلومات الاتصال

تحميل as PDF
–>
الرجاء الاتصال بنا gere
إذا كان لديك أي أسئلة حول منتجاتنا ، فلا تتردد في الاستشارة في أي وقت.
اتصل بنا
Leave Your Message

If you are interested in منتجاتناs, you can choose to leave your information here, and we will be in touch with you shortly.